
நாடு முழுவதும் 7 கட்டங்களாக நடைபெறும் நாடாளுமன்ற மக்களவைத் தேர்தல் வரும் ஏப்ரல் 19-ம் தேதி தொடங்குகிறது. இதில் முதற்கட்டமாக தமிழ்நாடு, புதுச்சேரி, மேற்கு வங்கம் உள்ளிட்ட மாநிலங்களுக்கு வாக்குப்பதிவு நடைபெறுகிறது. ஜூன் 1-ம் தேதி தேர்தல் நிறைவடைந்து, ஜூன் 4-ம் தேதி வாக்கு எண்ணிக்கை நடைபெறுகிறது.
இதனை முன்னிட்டு நாடு முழுவதும் அனைத்து கட்சிகளும் தீவிர தேர்தல் பிரசாரத்தில் ஈடுபட்டு வருகின்றனர். அதோடு தேர்தல் தேதியை தேர்தல் ஆணையம் அறிவித்த கையோடு, தேர்தல் நடத்தை விதிகளும் அமலுக்கு வந்துள்ளது. அதன்படி, இரவு 10 மணிக்கு மேல் பரப்புரை மேற்கொள்ளக் கூடாது, வாக்காளர்களுக்கு பணப்பட்டுவாடா, பரிசுப்பொருட்கள் என எதுவும் கொடுக்க கூடாது, அளவுக்கு அதிகமாக மது பாட்டில்கள் வெளியே எடுத்துச்செல்ல கூடாது, குறிப்பிட்ட தொகையை கையில் வைத்திருந்தால் உரிய ஆவணங்களை சமர்ப்பிக்க வேண்டும் என பல விதிகள் உள்ளன.

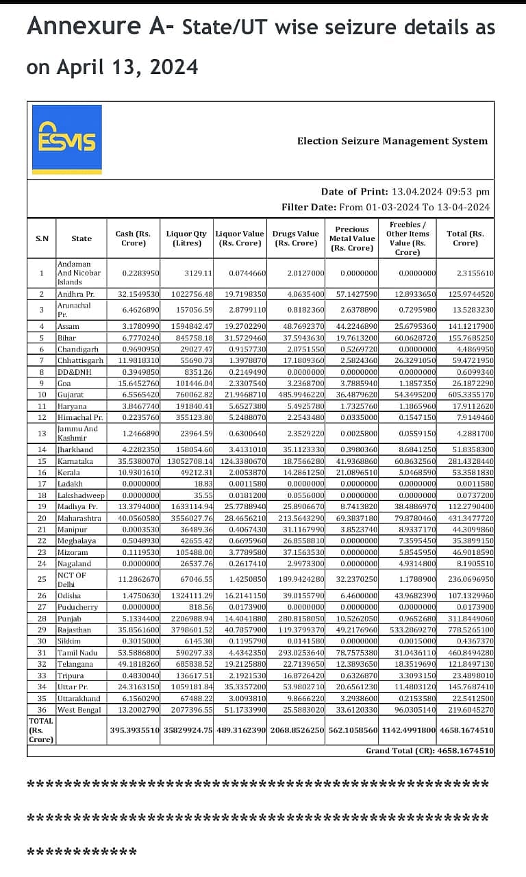
இதனை முன்னிட்டு தேர்தல் பறக்கும் படை அதிகாரிகள் நாடு முழுவதும் வட்டமிடும் கழுகு போல் இரவு பகல் என தீவிர கண்காணிப்பில் ஈடுபட்டு வருகின்றனர். அப்படி தீவிரமாக நடைபெற்ற சோதனையில் கடந்த மார்ச் 1 முதல் ஏப்ரல் 13 வரை சுமார் ரூ.4,658 கோடி மதிப்பிலான பணம், பொருட்கள் உள்ளிட்டவை பறிமுதல் செய்யப்பட்டதாக தேர்தல் ஆணையம் அறிவித்துள்ளது.
இந்த தொகையானது கடந்த 2019-ம் ஆண்டு தேர்தலில் பறிமுதல் செய்யப்பட்ட பண மதிப்பை (ரூ.3,475) விட அதிகம் எனவும், 75 ஆண்டுகால அரசியல் வரலாற்றில் தேர்தலுக்கு முன்னர் குறுகிய காலத்தில் இவ்வளவு பறிமுதல் செய்யப்பட்டது இதுவே முதல்முறை எனவும் தேர்தல் ஆணையம் தெரிவித்துள்ளது.

இவை ரூ.395.39 கோடி பணமும், ரூ.489.31 கோடி மதிப்பிலான (35,829,924 லிட்டர்) மதுவும், ரூ.2,068.58 கோடி மதிப்பிலான போதைப் பொருட்களும், ரூ.562.10 கோடி மதிப்பிலான தங்கம் உள்ளிட்ட விலையுயர்ந்த உலோகமும், ரூ.1,142.49 கோடி மதிப்பிலான பரிசுப்பொருட்கள் என மொத்தம் ரூ.4,658.16 மதிப்பிலான பொருட்கள் ஆகும்.
இவை அனைத்தும் ஒவ்வொரு மாநிலங்களிலும் போலீசார், தேர்தல் அதிகாரிகள், பறக்கும் படையினர், வருமான வரித்துறையினர், அமலாக்கத்துறையினர், NCB உள்ளிட்ட பலரும் பறிமுதல் செய்யப்பட்டவையாகும். இதில் பாஜக ஆளும் ராஜஸ்தான் (ரூ.778 கோடி) மற்றும் குஜராத் (ரூ.605 கோடி) மாநிலங்களிலேயே அதிகம் பறிமுதல் செய்யப்பட்டுள்ளது.








